Boundary County Watchman
Home
Docs
Posts
Stay In Touch
Menu
Home
Docs
Posts
Stay In Touch
Facebook
Youtube
Twitter
View Categories
Home
Docs
Sheriff
Sheriff's Jail
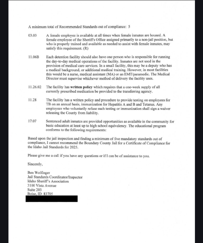
Part 1 – Boundary County Jail Compliant to Noncompliant… WHY?
Part 1 – Boundary County Jail Compliant to Noncompliant… WHY?
< 1 min read
Powered by
BetterDocs
Leave a comment
You must be
logged in
to post a comment.